Loading page…
Loading page…
Last updated: 2025-12-03
Sec 3–4 Physics quick-reference sheets, diagnostic drills, and practical refreshers aligned to Singapore-Cambridge GCE O-Level expectations.
Download the full Integrated Programme (IP) / O-Level Physics (Sec 3–4) notes bundle
Grab the consolidated PDF, then WhatsApp us your next test topic and we’ll point you to the exact pages or tailor a quick plan.
Prefer tailored notes? WhatsApp us with your topic.
How to use these notes
Related hubs
Prefer structured tuition support for this subject? Start here.
Need a place to revise? Browse our study places near me map for libraries, community study rooms, and late-night options.
Yes — the set covers the full Sec 3–4 sequence (measurements to radioactivity) and uses 6091 definitions and conventions.
Each topic includes step-by-step examples, common pitfalls, and practical reminders for circuits, waves, and measurements.
Yes — download /pdf/ip-physics-upper-sec-notes-complete.pdf for the consolidated printable bundle.
Use the Practical Electricity and lab-bridging guides for data handling, graphing, and uncertainty; they pair with the topic notes for Paper 3 skills.
Yes. If you want a tailored plan for your next test, WhatsApp us and we’ll point you to the exact chapters and drills.
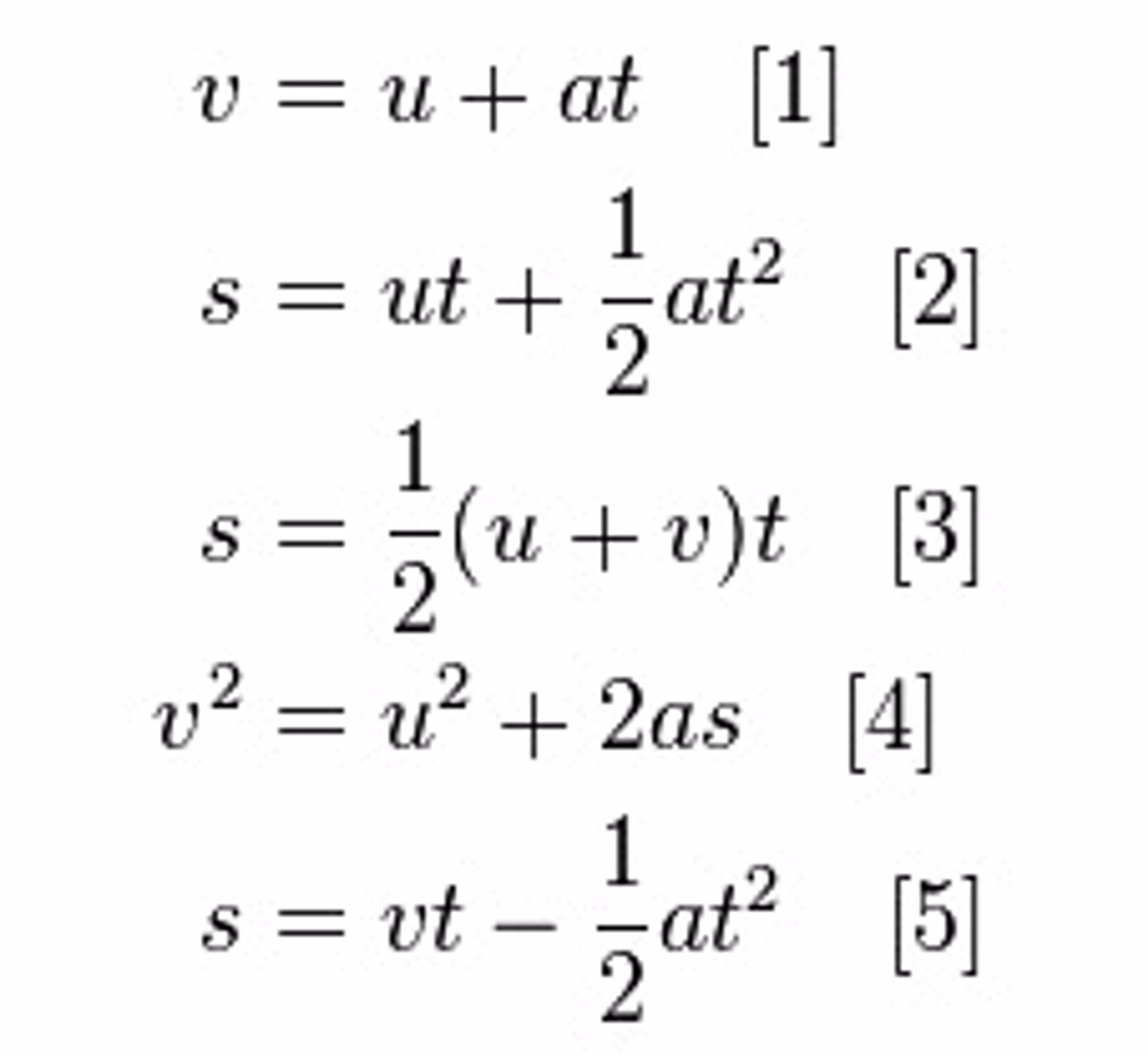
Printable 6091 definitions and equations for quick lookup.
Significant figures, uncertainties, and graphing reminders.